Electors of Indian States
The objective of this analysis is to
- Measure the increase or decrease in electors count for various states
- Measure the change in voters count or polling percentage
- Comparing electors growth between various states of India
Census of India systematically collects information about the population of India every 10 years. The last census report was published in the year 2011 and the next census is planned for the year 2021. The census data gives information about the prospective growth of the population of a country.
One of the primary duties of the Indian election commission of India is to verify the electors’ list, add new electors, remove electors in case of death and remove duplicates. The voting age of elections in India is 18 years and the electoral list consists of a population whose age is above 18 years.
The data source for this analysis is https://eci.gov.in/
If the electoral data is considered as data of a population whose age is above 18 years, then this analysis gives an indirect measure for the increase/decline/stagnated population in various states of India. Also, this analysis resulted in an understanding of
- Year of formation of various states after Independence
- Re-organization of various regions based on the linguistic identification of different languages in India
- Indirect measure for the growth of different language speaking population
Keywords
Electors – Eligible to vote Voters – Who voted in an election
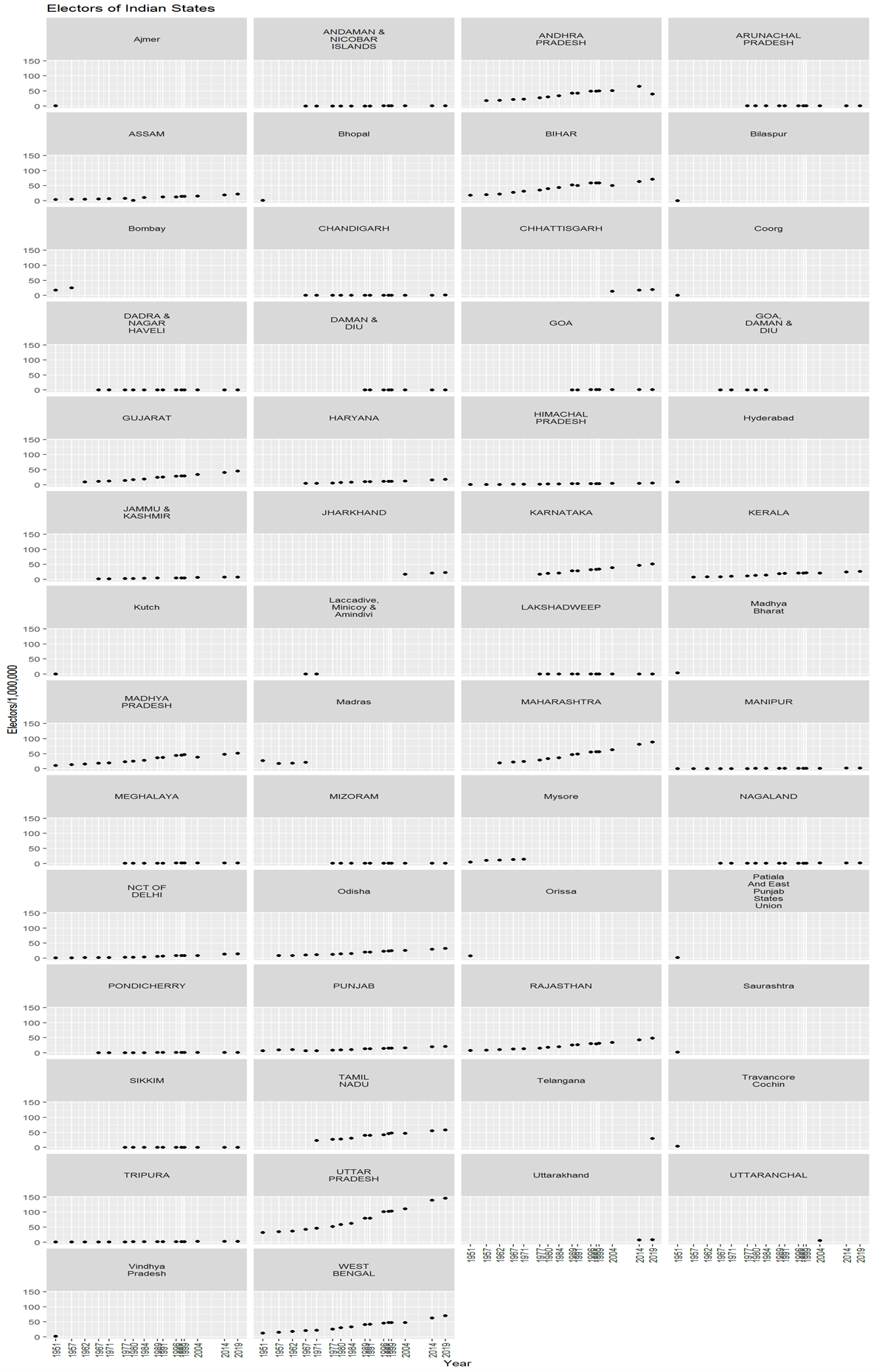
Plotting the raw data
The below plot is made from the data of state-wise total electors in various parliamentary elections published by the election commission of India. The below plot has
x-axis = Year of Parliamentary election
y-axis = Electors divided by 1,000,000

Observations from the above chart
Ajmer / Bhopal / Bilaspur / Kutch / Madhya Bharat / Saurashtra / Vindhya Pradesh
- They have electors only for the year 1951
- Ajmer was merged with Rajasthan in 1956
- Bhopal, Madhya Bharat & Vindhya Pradesh were merged with Madhya Pradesh in 1956
- Bilaspur was merged with Himachal Pradesh in 1954
- Kutch & Saurashtra were merged with the state of Bombay in 1956
Andaman & Nicobar Islands
- It has electors only from the year 1967
- It became part of India in 1950 and It was announced as Union territory of India from 1956
Andhra Pradesh, Telangana & Hyderabad
- Andhra Pradesh has electors only from the year 1957
- Hyderabad has electors only for the year 1951
- Telangana has electors only from the year 2019
- Hyderabad was separated from the state of Madaras in 1953 based on the linguistic identity of Telugu speaking peoples
- Later in 1956 Hyderabad state was renamed Andhra Pradesh after removing Kannada speaking regions & Marathi speaking region
- Telangana was separated from Andhra Pradesh in the year 2014
Arunachal Pradesh
- It has electors from the year 1977
- It was formed in the year 1972 as a Union territory from "Northeast frontier agency" and later it received the status of a state in 1987
Bombay, Maharashtra, and Gujarat
- Bombay has electors only for the year 1951 & 1957
- It was finally split into Maharashtra & Gujarat in the year 1960 based on the linguistic identity of Marathi & Gujarati speaking peoples
- Few Marathi speaking regions from the state of Hyderabad were merged with Maharashtra
- Few Kannada speaking regions from Bombay were attached to Karnataka
Chandigarh, Punjab, Haryana, and Patiala & East Punjab
- Patiala & East Punjab has electors only for the year 1951
- Haryana & Chandigarh has electors from the year 1967
- After 1947 west Punjab was separated from India to Pakistan along with Lahore, the old capital of Punjab
- For the capital of Punjab Chandigarh was formed from 50 "Paudi" speaking villages
- Based on the linguistic identity again Punjab was divided into two separate states named Punjab for Punjabi speaking peoples and Haryana for Haryanvi speaking people in the year 1966
- Later Chandigarh was announced as Union territory to serve the capital of both states Punjab & Haryana
Chhattisgarh, Madhya Pradesh
- Chhattisgarh has electors from the year 2004
- Chhattisgarh is formed in the year 2000 and it was separated from Madhya Pradesh
Goa, Daman & Diu
- Goa, Daman & Diu became the union territory of India from 1961
- Until 1987 Goa, Daman & Diu were considered as a single union territory
- Later Goa has given the status of having its legislative assembly
- And Daman & Diu became a separate union territory
Coorg, Mysore & Karnataka
- Coorg has electors only for the year 1951
- Coorg was merged with the state of Mysore in the year 1956
- In the year 1956 Mysore received Kannada speaking regions from Madras state, Bombay state, Andhra state & Hyderabad state
- In the year 1973 the state of Mysore was renamed Karnataka
Dadra and Nagar Haveli
- It has electors from the year 1967
- It was added to India as Union territory in the year 1961
Jammu & Kashmir
- It has electors only from the year 1967
- The regions were under dispute with Pakistan & China until 1967
Jharkhand, Bihar
- Jharkhand has electors only from 2004
- Jharkhand was separated from Bihar in the year 2000
Kerala, Travancore Cochin
- Kerala has electors only from the year 1957
- Travancore Cochin has electors only for the year 1951
- Kerala is formed from Travancore Cochin and it received Malayalam speaking regions from the state of Madras in the year 1956 base on the linguistic identity of Malayalam speaking peoples
Laccadive, Minicoy and Amindivi, Lakshadweep
- Laccadive, Minicoy & Amindivi has electors only for the year 1967 & 1971
- Lakshadweep has electors from the year 1977
- In the year 1956 Laccadive, Minicoy, and Amindivi was separated from the Malabar district
- In 1973 Laccadive, Minicoy & Amindivi was renamed Lakshadweep
Madras, Tamil Nadu
- Madras state has electors only for the year 1951, 157, 1962 & 1967
- In the year 1956 Telugu, Malayalam & Kannada speaking regions were separated from the state of Madras
- Madras state was renamed Tamil Nadu in the year 1969.
Assam, Meghalaya, Mizoram, Nagaland
- Mizoram & Meghalaya has electors only from the year 1977
- Nagaland has electors only from the year 1967
- Mizoram & Meghalaya were separated from Assam in the year 1972
- Nagaland was separated from Assam in the year 1963
Odisha & Orissa
- After the 1951 election the name Orissa was renamed Odisha
Pondicherry
- Pondicherry has electors only from the year 1967
Sikkim
- Sikkim has electors only from the year 1977
- Sikkim was added to Indian states in the year 1975
Uttarakhand, Uttaranchal
- Uttarakhand has electors only from the year 2014
- Uttaranchal has electors only for the year 2004
- Uttaranchal was separated from Uttar Pradesh in the year 2000
- In 2007 Uttaranchal was renamed Uttarakhand
Comparison of Elector & Voters in various states of India
Most of the states were formed, re-oriented in the period between 1950 to 1960. For consistency, below changes were made to the data
- All the data before 1967 were removed in the next plot.
- Ajmer, Bhopal, Bilaspur, Coorg, Kutch, Madhya Bharat, Patiala & East Punjab, Saurashtra, and Vindhya Pradesh were removed since they got merged with other states
- Telangana was removed since it is not having enough data
- Mysore is renamed Karnataka
- “Goa, Daman & Diu” is renamed as “Daman & Die”
- “Laccadive, Minicoy & Amindivi” is renamed Lakshadweep
- Madras is renamed Tamil Nadu
- Orissa is renamed Odisha
- Uttaranchal is renamed Uttarakhand
With the above changes, the below plot is made and it has
x-axis = Year of Parliamentary election
y-axis = Electors OR Voters divided by 1,000,000
Line = Linear model regression line

Observations from the above plots
- In most of the states, the gap between the electors' line & voters line are increasing OR same, which indicate "no improvement"/ "decrease" in Voting percentage. But this conclusion will be re-verified in the next plot.
- Andhra Pradesh, Bihar, Gujarat, Karnataka, Madhya Pradesh, Maharashtra, Rajasthan, Tamil Nadu, Uttar Pradesh & West Bengal are considered as Big (OR) Highly populated states of India.
- Assam, Chhattisgarh, Haryana, Jharkhand, Kerala, NCT of Delhi, Odisha & Punjab are considered as Medium size (OR) Medium populated states in India.
- Andaman & Nicobar Highlands, Arunachal Pradesh, Chandigarh, Dadra & Nagar Haveli, Daman & Diu, Goa, Himachal Pradesh, Jammu & Kashmir, Lakshadweep, Manipur, Meghalaya, Mizoram, Nagaland, Pondicherry, Sikkim, Tripura & Uttarakhand are considered as Small size (OR) less populated states in India.
Big (OR) Highly populated States
From the data, “Big OR Highly populated states” were filtered and the below plot was made. It has
x-axis = Year of Parliamentary election
y-axis = Electors divided by 1,000,000 for various states

Observations from the above plots
- Gujarat electors have grown almost 4.22 times from 1967
- Karnataka, Maharashtra & Rajasthan electors have grown almost 4 times from 1967
- West Bengal electors have grown almost 3.45 times from 1967
- Tamil Nadu has grown almost 2.81 times from 1967
- 18.99 million was the electors of Chattishgarh in 2019, which was separated from Madhya Pradesh. This 18.99 is almost 36.67% of Madhya Pradesh’s latest electors. At the same time, Madhya Pradesh has grown 2.82 times from 1967
- 29.69 million were the electors of Telangana in 2019, which was separated from Andhra Pradesh. This 29.69 is almost 45.72% of Andhra Pradesh’s latest electors. At the same time, Andhra Pradesh has grown almost 3.08 times from 1967
- 7.76 million was the electors of Uttarakhand in 2019, which was separated from Uttar Pradesh. This 7.76 is just 5% of Uttar Pradesh’s latest electors. At the same time, Uttar Pradesh has grown almost 3.46 times from 1967
- 22.36 million were the electors of Jharkhand in 2019, which was separated from Bihar. This 22.36 is almost 31.46% of Bihar’s latest electors. At the same time, Bihar has grown almost 2.56 times from 1967
Tamil Nadu is having the lowest electors growth in India compared to any other Big or Highly populated state.
The below plot is made after calculating the polling percentage from the given data.
Polling percent = Voters/Electors
The plot has
x-axis = Year of Parliamentary election
y-axis = Polling % for various states

Observations from the above plots
- Andhra Pradesh, Madhya Pradesh & West Bengal has Considerable growth of polling percent
- Tamil Nadu’s polling percent is mostly above 60%
- Karnataka has polling percent of above 65% from 1999
- Bihar, Gujarat, Maharashtra, Uttar Pradesh & Rajasthan has not had a considerable change in polling percent.
The data file in *.CSV format can be downloaded from Electors of India states