adp-and-bf-calculation

Apparatus dew point temperature (ADP) & By-pass factor (BF)

Calculator and equations for the apparatus dew point temperature and by-pass factor of an air handling unit.

Image shows the derivations for iterating ADP value from cooling load calculations

by Dasa

08 Dec 2020

Read more
ahu-air-side-cooling-load-calculation

AHU air side cooling load calculation

Calculator and equations for the Sensible load, latent load & total load calculation of an air handling unit.

Image shows the derivations for the air side cooling load calculation

by Dasa

08 Dec 2020

Read more

ahu-water-side-cooling-load-calculation

AHU water side cooling load calculation

Calculator and equations for the chilled water cooling load calculation of an air handling unit and its derivations.

Image is the derivation of the chilled water cooling load calculation

by Dasa

08 Dec 2020

Read more
air-handling-unit-performance-calculation

Air Handling Unit (AHU) performance calculation

Calculating water side energies, air side energies which includes capacity/tonnage, psychrometric properties, air flow rate, apparatus dew point temperature & by-pass factor.

Image shows the equations for Sensible and latent heat factors

by Dasa

08 Dec 2020

Read more

air-handling-unit-selection

Air Handling Unit (AHU) Selection Guide

Selection guide & industrial standards for basic components of AHU's like, filters, coil, AHU panels and fans.

A simple line drawing showing the basic components of AHU

by Dasa

08 Dec 2020

Read more
amount-of-moisture-content-in-air

Amount of Moisture content in air

The amount of moisture content in the air can be represented in four ways, as illustrated below

The images shows the four different ways for the moisture content in the air

by Dasa

27 No 2021

Read more

atomic-mass-and-avogadro-number

Atomic Mass and Avogadro Number

This document contains details of protons, neutrons, and electrons for various elements in the Periodic table. And it explains the use of the Avogadro number.

Image shows a screen shot from the article

by Dasa

27 No 2021

Read more
bernoulli-distribution-binomial-trials

Bernoulli distribution & binomial trials

Definition of Bernoulli distribution, Bernoulli trials, p-value of Binomial trial, and related examples

Image is p-value curve for 100 coin flips

by theDataTalks

26 Apr 2020

Read more

chilled-water-flow-measurement

Chilled water flows measurement using Orifice plate, Balancing valves, Manometers & Pitot tubes.

This article explains various methods of chilled water flow measurement viz, Using Balancing Vale/Orifice plate & Manometers, Using Balancing Vale & Manometers, Using a simple Pitot tube, Using Pitot tube with Piezometer & Using Pitot static tubes & DP Manometer.

Pitot static tube with U-tube manometer

by Dasa

17 Feb 2019

Read more
conservation-of-mass

Law of Conservation of Mass and Continuity Equation

Deriving the continuity equation for compressible and incompressible fluid from the law of conservation of mass with divergent rule.

The image shows a fluid volume with dimensions of δx, δy, and δz with mass flow equations at all surfaces

by Dasa

25 Aug 2023

Read more

conservation-of-momentum-and-energy

Law of Conservation of Momentum and Energy

Deriving the equations for energy, x-momentum, y-momentum, and z-momentum from the law of conservation of momentum and energy.

The image shows the final equation for energy and momentums.

by Dasa

29 Aug 2023

Read more
covid19-corona-virus-china-data

China Covid-19 Corona virus data

Growth of spread & death

Image is a dot plot showing daily new cases & deaths

by theDataTalks

05 Apr 2020

Read more

covid19-corona-virus-india-data

India Covid-19 Corona virus data

Growth of spread & death

Image is dot plot showing daily new cases & deaths

by theDataTalks

02 Apr 2020

Read more
covid19-corona-virus-world-data

World Covid-19 Corona virus data

Growth of spread & death

Image is a dot plot showing daily new cases & deaths

by theDataTalks

05 Apr 2020

Read more

daltons-law

Daltons Law

This document gives definitions of Daltons law and an explanation for calculating partial and total pressure using Ideal gas and Dalton's law

Image shows a calculator for Partial pressure of gas

by Dasa

27 No 2021

Read more
design-for-manufacturing-and-assembly-for-sheet-metals

Design For Manufacturing and Assembly(DFMA) principles of Sheet Metal Work

Design For Manufacturing and Assembly (DFMA) principles of Sheet Metal Work.

Laser cutting machine - Image by Michal Jarmoluk from Pixabay

by Dasa

15 Dec 2020

Read more

dew-point-temperature

Dew Point Temperature (DPT)

This document gives definition for Dew point temperature and a method to calculate it from the dry bulb temperature and the partial pressure of water vapour

Image shows a calculator for Dew Point Tempaerature

by Dasa

27 No 2021

Read more
divergence-of-velocity-vector

Divergence of velocity vector

Divergence operator, significance of divergence, and divergence theorem

A simple paint image represents the p-value statistics

by Dasa

15 May 2023

Read more

divisibility-rule

Divisibility Rule

Divisibility rule for 2, 3, 4, 5, 6, 8, 9 & 12

Ozone layer present in the stratosphere

by Kamalini 7th Std.

26 Apr 2020

Read more
energy-equation-in-three-dimension

Energy equation in Three Dimension

Deriving the energy equation in 3-dimension includes work done by surface forces, heat flux due to heat conduction, and heat sources. We will derive an equation for temperature of incompressible fluids and enthalpy from the energy equation of compressible fluids.

The image shows the energy flux due to heat condution.

by Dasa

01 Sep 2023

Read more

gradient-of-scalar

Gradient of a Scalar

Gradient operator and significance of gradient

A simple paint image represents the p-value statistics

by Dasa

15 May 2023

Read more
heat-transfer

Heat Transfer

Different ways how the heat is transfered and its mechanism - Conduction, Convection, and Radiation

Image displaying the different ways of heat transfer

by Dasa

11 Jul 2023

Read more

humidity-ratio-or-specific-humidity

Humidity ratio (or) Specific humidity

This document describes the method of calculating the Humidity ratio using Dry bulb temperature and wet bulb temperature with the help of Daltons law

The image shows a calculator for the Humidity Raio

by Dasa

27 No 2021

Read more
hvac-duct-air-pressure-loss

HVAC duct air pressure loss

HVAC duct air pressure loss using Darcy Weisbach equation and Colebrook equation or Moody’s chart. Calculator to determine pressure loss without the help of a chart.

Image shows the representation of a typical HVAC duct

by Dasa

07 Jul 2021

Read more

laplacian-of-velocity-potential

Laplacian of velocity potential

Laplacian operator (Divergent of a Gradient of a scalar) and mass conservation

A simple paint image represents the p-value statistics

by Dasa

26 May 2023

Read more
maths-number-system

Maths Number System

Basic aptitude questions in Real numbers, rational numbers, irrational numbers, integers, fractions, decimals, whole numbers, and natural numbers.

by Dasa

08 Dec 2020

Read more

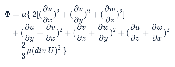
momentum-equation-and-forces

Momentum equation in a 3D particle and its surface & body forces

Deriving the momentum equation for a 3D particle and the forces acting on the surfaces & body.

The image shows the surface forces acting on a 3D particle in x-direction.

by Dasa

01 Sep 2023

Read more
nginx-pm2-nuxtjs

Nginx with PM2 for NuxtJs

Nginx server blocks with PM2 configuration for NuxtJs application (Two NuxtJs applications running on single public IP)

Image is a screen shot of logos

by theDataTalks

19 Apr 2020

Read more

ozone-layer

Ozone Layer

An Introduction to Ozone Layer

Ozone layer present in the stratosphere

by Kamalini 7th Std.

26 Apr 2020

Read more
p-value

p-value

p-value the amount of unusual sample values

A simple paint image represents the p-value statistics

by theDataTalks

26 Apr 2020

Read more

pm25-tl-hyderabad-sanathnagar

Air Pollution data-Telangana, Sanathnagar, Hyderabad

A close look at the air pollution data taken from Sanathnagar, which explains PM2.5 levels for different seasons, time, weekday & weekend

Image is a hourly PM2.5 for different seasons

by theDataTalks

14 Mar 2020

Read more
pm25-tn-chennai-alandur

Air Pollution data - Tamil Nadu; Station: Alandur Bus Depot, Chennai - CPCB

A close look at the air pollution data taken from Alandur, which explains PM2.5 levels for different seasons, time, weekday & weekend

Image is a hourly PM2.5 for different seasons

by theDataTalks

14 Mar 2020

Read more

psychrometric-calculator

Psychrometric calculator

Computing Psychrometric properties without chart and equations.

Image shows the preview of the calculator

by Dasa

08 Dec 2020

Read more
psychrometric-chart-and-related-equations

Psychrometric chart and related equations

Plotting and resolving air properties with the help of psychrometric chart and resolving air properties with the help of equations.

Image shows the equations for the humidity ratio

by Dasa

08 Dec 2020

Read more

psychrometry-moisture-content-air

Study of Moisture content in air - Pychrometry

Brief introduction about the study of moisture content in the air, which is called Psychrometry. Explains the basics of moist air properties.

The image shows a screenshot of a portion of the document.

by Dasa

27 No 2021

Read more
relative-humidity

Relative Humidity (RH)

This document describes two different methods in calculating Relative Humidity using the Partial pressure of water vapor and the Humidity ratio at saturation

The image shows a calculator for the Relative Humidity

by Dasa

27 No 2021

Read more

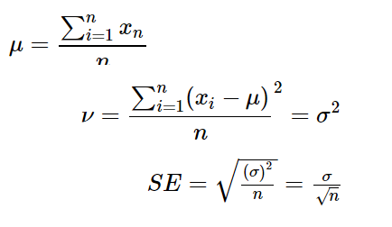
standard-deviation-and-error

Standard deviation and Standard error

Introduction to mean, variance, standard deviation and standard error of a population

Image

by theDataTalks

19 Apr 2020

Read more
uniform-distribution

Uniform distribution

Discrete & continuous models of uniform distribution

Image represents a continuous uniform distribution of a random numbers

by theDataTalks

26 Apr 2020

Read more

wet-bulb-temperature

Wet-bulb Temperature (WBT)

This document defines Wet-bulb temperature and describes how to measure it, and describes how to calculate Wet-bulb temperature from Dry-bulb temperature and Relative humidity.

The image shows a calculator for the Wet-bulb temperature

by Dasa

27 No 2021

Read more

Don't be in delusion, understand the reality from historical data | Copyright © 2020 theDataTalks